3.13. Геометрическая прогрессия распределения монет
На момент написания данного документа в мире существуют следующие проблемы, связанные с распределением токенов на крипторынке, а также акций на венчурном рынке:
1. Биткойн.
Майнинг как механизм эмиссии стимулировал не развитие технологий или экосистемы криптовалюты, а массовое потребление электроэнергии и интенсивное изнашивание оборудования с высокой нагрузкой. Это привело к значительным экологическим издержкам и чрезмерному расходу ресурсов на поддержание сети, вместо их использования для её совершенствования. Огромные вычислительные мощности оказались потрачены на поддержание относительно неэффективной технологии. Такой подход создаёт парадокс: ради создания инновационной финансовой системы используется ресурс, который наносит вред окружающей среде, а не способствует её развитию.
2. Альткойны.
У большинства альткойнов распределение токенов остаётся неэффективным, что создаёт серьёзные препятствия для их долгосрочного развития. Чрезмерная концентрация токенов в руках ранних инвесторов или крупных фондов приводит к дисбалансу интересов и увеличивает риски манипуляции рынком. Ограниченное количество токенов, доступных широкой аудитории, снижает уровень децентрализации и ослабляет интерес сообщества к проекту. Более того, такие проекты часто сталкиваются с нехваткой ресурсов для развития экосистемы, поскольку на начальных стадиях не была заложена стратегия распределения токенов и привлечения инвестиций, ориентированная на долгосрочную перспективу. Всё это подрывает доверие к проектам, снижает их конкурентоспособность и ограничивает их потенциал масштабирования в будущем.
3. Акции.
Весь процесс от посевных раундов до поздних стадий проходит в закрытой среде, где участвуют только профессиональные фонды и крупные инвесторы. Розничным инвесторам, напротив, доступ к акциям открывается только после IPO, когда основные фазы роста уже завершены, а стоимость активов уже достигла большей части своего потенциала. Это создаёт ситуацию, в которой львиная доля прибыли остаётся в руках фондов, а широкая аудитория инвесторов получает возможность приобрести актив только по завышенным ценам. Дополнительно стоит отметить низкую эффективность профессиональных участников венчурного рынка в оценке перспективных проектов. Формулы и модели, которые они используют, часто оказываются настолько абстрактными, что пропускают ключевые тренды. Игнорирование биткоина и других криптовалют на ранних стадиях — лишь один из примеров их системной несостоятельности. Оценки, которые давались многим инновационным компаниям, не учитывали потенциал новых технологий, что лишний раз демонстрирует ограниченность традиционного подхода.
В связи с этим была разработана комбинированная модель, объединяющая лучшие идеи криптовалютного и венчурного рынков, а также устраняющая их недостатки.
Данная модель получила название “Геометрическая прогрессия распределения монет” и функционирует согласно следующим принципам:
1. Стадии.
При разработке каждой стадии привлечения инвестиций был проведен детальный анализ инвестиционных раундов компаний с капитализацией свыше одного триллиона долларов (Apple, Microsoft, Amazon, Alphabet, Saudi Aramco, Tesla, NVIDIA), а также изучен опыт ведущих криптовалют. На основе этого анализа была сформирована структура из 10 этапов привлечения инвестиций, направленная на достижение максимальной эффективности и устойчивого роста ДефляцияКоин:
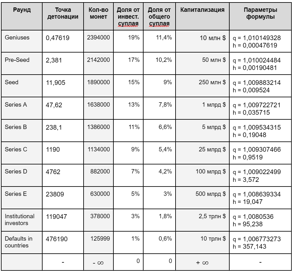
Первая стадия: “Geniuses”.
На этом этапе монеты приобретают выдающиеся личности из мира венчурных инвестиций — настоящие визионеры с уникальным чутьем на проекты, способные изменить мир. Эти инвесторы не просто обладают опытом и глубоким пониманием рынка, но и имеют смелость поддерживать идеи, опережающие своё время. Они видят потенциал не только в достижении капитализации в триллион долларов, но и в создании наследия, которое войдет в историю. Привлеченные инвестиции на этой стадии будут направлены на разработку всех механизмов ДефляцияКоин, за исключением компонентов дефляционной экосистемы.
Стадии финансирования: со 2-й по 8-ю (Pre-Seed, Seed, Series A, Series B, Series C, Series D, Series E).
На этих этапах монеты будут приобретать бизнес-ангелы, криптоэнтузиасты и венчурные фонды со всего мира. Привлеченные инвестиции на этих стадиях будут направлены на разработку всех элементов Дефляционной экосистемы, а также на их популяризацию и масштабирование. Все элементы экосистемы в совокупности сформируют уникальное онлайн-государство с диверсифицированной экономикой, охватывающей различные сегменты. Каждый бизнес-юнит этой экосистемы ежемесячно будет направлять часть своего дохода на выкуп монет ДефляцияКоин, их распределение между стейкерами, а также на их сжигание, что дополнительно усилит дефляционный эффект и укрепит ценность монет.
Девятая стадия: “Institutional investors”.
На этом этапе институциональные инвесторы, обеспокоенные инфляцией и снижением стоимости своих активов, начнут активно приобретать монеты. Одобрение ETF на ДефляцияКоин предоставит возможность пенсионным фондам, банкам и страховым компаниям заменить подверженные инфляции фиатные валюты на надежный актив с дефляционным механизмом. Привлеченные инвестиции на данной стадии будут направлены на глобальную популяризацию элементов дефляционной экосистемы, с целью охватить каждую страну мира и донести информацию о ДефляцияКоин до абсолютно каждого человека на планете.
Десятая стадия: “Defaults in countries”.
На последней стадии главным катализатором роста ДефляцияКоин станут дефолты стран с высоким уровнем внешнего государственного долга. Граждане этих стран, стремясь сохранить свои активы, найдут убежище в надежном дефляционном онлайн-государстве, которое является “хеджем” от нестабильности устаревшей фиатной системы. История показывает, что крупные страны с высокой долговой нагрузкой, такие как Аргентина, Венесуэла и Греция, неоднократно сталкивались с экономическими кризисами и дефолтами. Каждый новый дефолт, банкротство или дополнительная эмиссия денег станет катализатором для роста ДефляцияКоин, укрепляя его статус глобальной “тихой гавани”. После завершения этой стадии все монеты ДефляцияКоин будут добыты, а любая транзакция будет способствовать усилению дефляционного эффекта, что еще больше укрепит ценность криптовалюты. ДефляцияКоин станет уникальным активом, признанным по всему миру, и символом надежности в условиях нестабильности глобальной финансовой системы.
(Цифровые параметры каждой стадии представлены в таблице №4).
2. Увеличивающийся дефицит монет с ростом цены.
Количество монет, выделяемое на каждую новую стадию, постепенно сокращается с переходом на следующую стадию. Этот механизм в определенной степени напоминает халвинг биткойна, но с ключевым отличием: сокращение предложения монет не связано с временными интервалами или усложнением добычи, а определяется исключительно ростом цены. В отличие от традиционного майнинга, ДефляцияКоин исключает экологические последствия, связанные с энергозатратным процессом добычи криптовалют. Вместо этого все привлеченные средства направляются на развитие проекта, создавая устойчивую модель, не наносящую вреда окружающей среде и человечеству в целом. (Подробности распределения представлены на графике ниже).

3. Геометрическая прогрессия расположения монет.
Распределение монет на каждой стадии реализовано по принципу геометрической прогрессии. На биржах будут выставлены лимитные ордера с монетами ДефляцияКоин, которые уменьшаются в соответствии с этой прогрессией, что значительно усиливает дефицит токенов. Такой подход обеспечивает ежедневное сокращение предложения, в отличие от халвинга биткойна, где снижение объема происходит лишь раз в четыре года.
Каждая стадия имеет свой уникальный знаменатель геометрической прогрессии (отношение каждого последующего члена последовательности к предыдущему), что ускоряет экспоненциальный рост цены. Эта концепция позволяет самым решительным инвесторам приобрести наибольшее количество монет по максимально выгодной цене, обеспечивая себе стратегическое преимущество и увеличивая потенциал доходности.
Пример распределения лимитных ордеров представлен на графике ниже. График демонстрирует упрощенный вариант из 5 лимитных ордеров, тогда как в практической реализации их количество составит 1000.

4. Точка детонации (ТД).
Точка детонации — это ценовой уровень, при достижении которого завершается стадия привлечения инвестиций. После преодоления этой точки происходит переход на следующую стадию, сопровождающийся ускорением роста цены. Это связано с тем, что в начале каждой новой стадии объем доступных монет минимален, а по мере приближения к следующей точке детонации их количество постепенно увеличивается (благодаря принципу “геометрическая прогрессия расположения монет”).
Ценовое расположение каждой точки детонации представлены в таблице ниже.
Таблица №4: Цифровые параметры всех стадий привлечения инвестиций.

Параметры, указанные в графе “Капитализация”, не учитывают сжигание монет, а расчеты основаны на базовой эмиссии в 20 999 999 монет. При достижении точек детонации фактическая капитализация окажется выше.
h - ценовой шаг между лимитными ордерами, на котором находится an монет.
Подробности токеномики раскрыты в разделе 5.
Распределение монет на ценовых значениях рассчитывается по формуле:
Параметры формулы:
an - количество монет на n-м ценовом значении;
a1 - первое ценовое значение;
q - знаменатель прогрессии (отношение любого члена к предыдущему);
n - номер ценового значения.
Таким образом, данная концепция привлечения инвестиций лишена следующих проблем:
Финансирование майнинга, загрязняющего экологию, вместо инвестиций в развитие экосистемы криптовалюты (майнинг биткойна).
Нехватка ресурсов для долгосрочного развития криптовалют, что приводит к дополнительной эмиссии токенов и их обесцениванию (альткойны).
Недоступность выгодных инвестиций на ранних стадиях для большинства инвесторов по всему миру (закрытые раунды финансирования на фондовом рынке).
В таблице ниже представлена потенциальная доходность инвесторов в зависимости от этапов покупки и продажи монет. Расчёты основаны на заранее определённых ценовых диапазонах каждой стадии и базовой эмиссии в 20 999 999 монет, без учета монет, которые будут постепенно сжигаться. Таблица позволяет инвестору оценить ожидаемую прибыль в зависимости от стадии приобретения монет.
Таблица №5: Потенциальная доходность инвесторов.

Данная таблица наглядно демонстрирует, что инвесторы, которые приобретают монеты раньше других, получают значительное преимущество в долгосрочной перспективе. Задержка в принятии решений может привести к ситуации, когда лучшие условия окажутся упущенными, а монеты перейдут к другим, более решительным участникам рынка. В таких условиях выигрывают те инвесторы, которые обладают стратегическим мышлением, способностью предвидеть рыночные тренды и принимают решения незамедлительно, не откладывая их на потом.
Нарастающий дефицит монет создаёт конкуренцию между инвесторами, что способствует росту цены и стимулирует развитие всей экосистемы проекта. Данная модель привлекает широкий круг участников: от центральных банков и венчурных фондов до хедж-фондов, инвестиционных компаний и частных инвесторов со всего мира. Финансовая система криптопроекта предоставляет возможность не только сохранить капитал, защищая его от инфляции, но и увеличить его благодаря уникальной дефляционной экосистеме актива.
После завершения последней стадии привлечения инвестиций все монеты будут выпущены, и дефляционный механизм начнёт полностью проявлять себя. С этого момента предложение монет ДефляцияКоин будет стремиться к нулю с ускоренной скоростью за счёт встроенных дефляционных процессов, в то время как спрос на них продолжит расти благодаря работе всех элементов дефляционной экосистемы.
Last updated